История
О книге
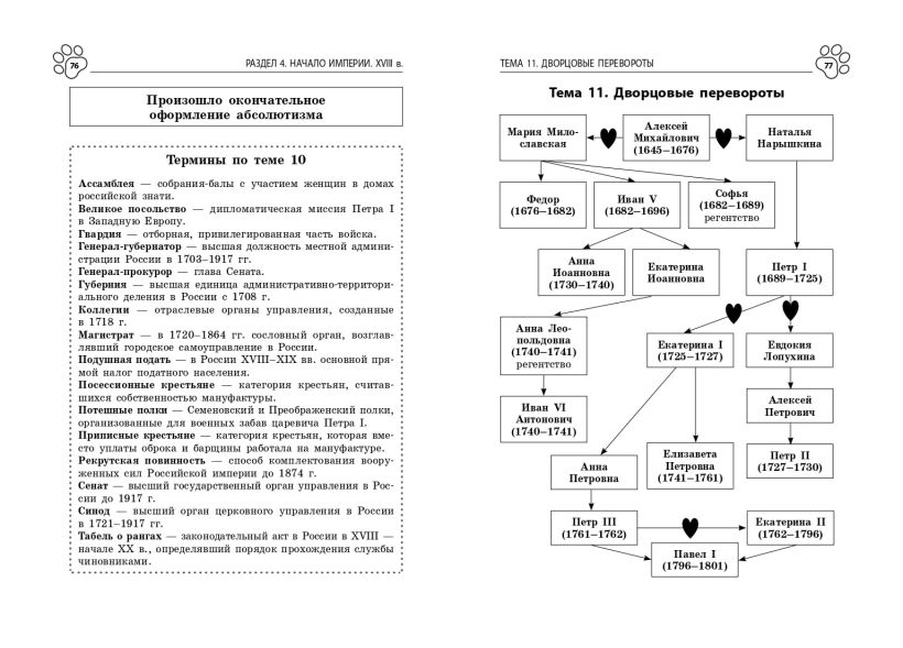
В справочнике кратко и доступно изложены основные сведения по истории России за 6, 7, 8, 9, 10 и 11 классы. Информация систематизирована и сфокусирована на самых важных разделах курса, знание которых проверяется экзаменом: «Русь в IX—XII вв.», «Раздробленность и формирование единого государства», «Российское царство», «Начало империи. XIII в.», «Российская империя в XIX в.», «Первая половина XX в.», «Послевоенное развитие СССР», «Новая Россия».
В книге вы найдете:
• списки необходимых терминов;
• сведения по всем разделам школьного курса;
• наглядные схемы и таблицы.
Не стоит тратить время на изучение длинных, громоздких текстов в учебниках, когда до урока или экзамена остались считаные часы! Используйте это компактное, но содержательное пособие, если хотите быстро получить знания, обобщить изученное в школе, освоить или вспомнить нужную тему, повысить общий уровень образования. Эта книжка станет лучшим другом для каждого подростка!
Автор книги: Мария Селиверстова — репетитор, автор пособий для подготовки к ЕГЭ и ОГЭ, основатель онлайн-школы «История и котики», ведущая популярного блога про историю и подготовку к экзаменам (общее число подписчиков свыше 130 000).
Рейтинги














