ОГЭ-2026. Литература. Тренировочные варианты. 25 вариантов
О книге
Издание адресовано учащимся средних классов и направлено на подготовку к ОГЭ по литературе.
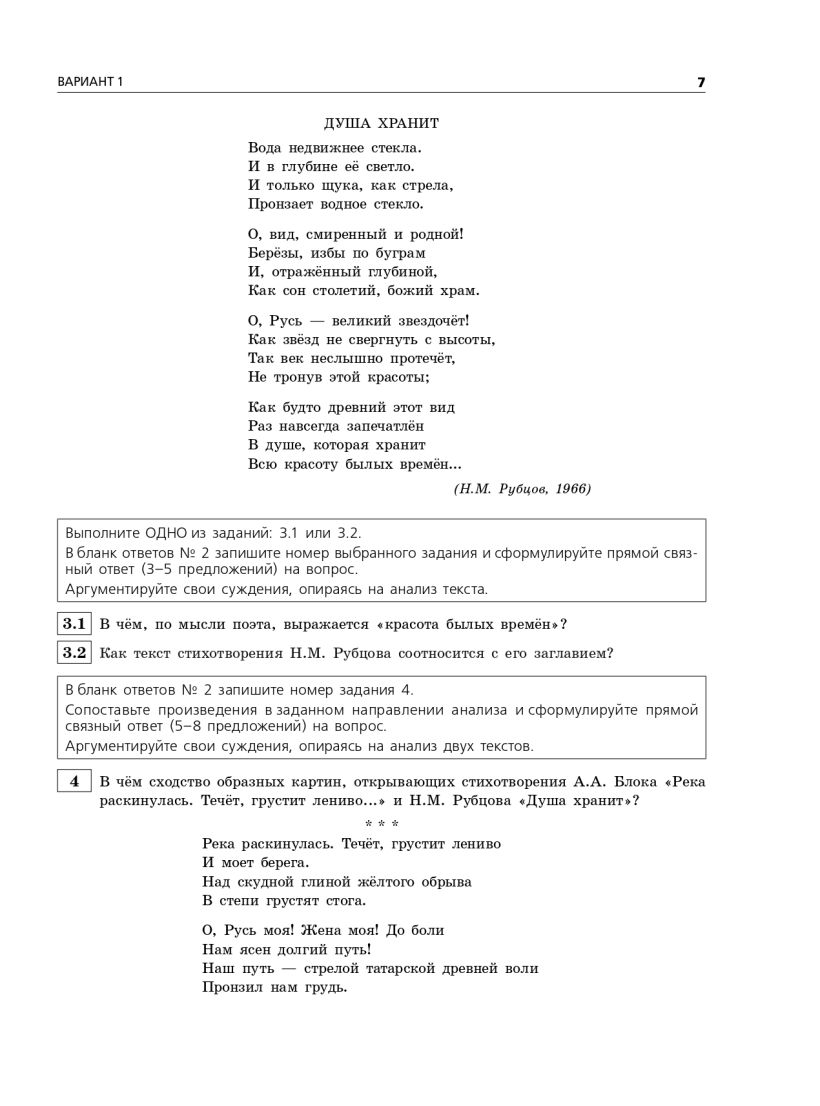
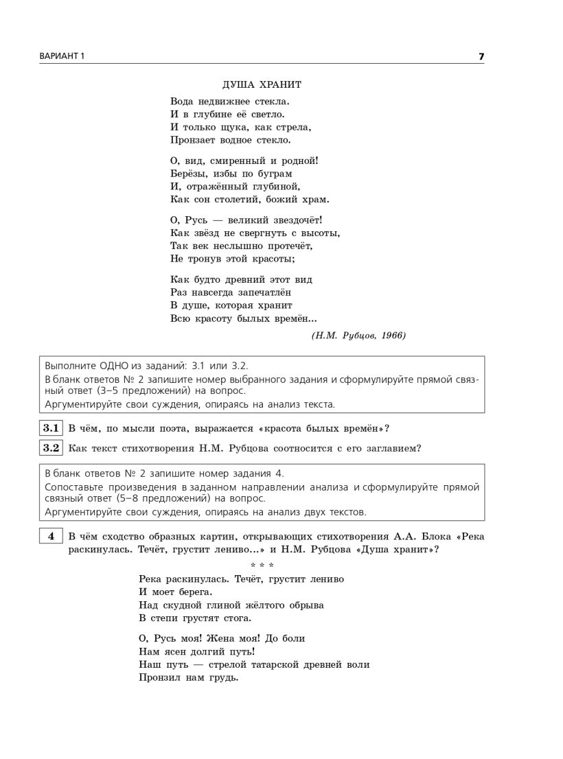
Пособие содержит 25 тренировочных вариантов по литературе, соответствующих структуре экзаменационной работы и составленных с учетом требований ОГЭ. Каждый вариант включает задания разных типов и уровней сложности.
С помощью данной книги для школьников учащиеся смогут ознакомиться со структурой теста, выполнить его с учетом реального времени, оценить свой уровень готовности к основному государственному экзамену, а учителя — эффективно организовать учебный процесс и подготовку к экзамену.
Характеристики
Другие издания
Похожие книги
Электронная книга Аудиокнига ОГЭ. Русский язык
Эксклюзивный справочник от издательства «Эксмо» и топовой онлайн-школы «Умскул», выпустившей за 9 лет более 600 000 учеников, поможет каждому прийти к заветным баллам на ОГЭ 2026 по русскому языку. В книжке только самая актуальная и нужная для экзамена теория, а также разбор разных типов экзаменационных заданий! Эта книга разложит по полочкам все темы по предмету за 5, 6, 7, 8, 9 классы: вы сможете запросто повторить уже изученный материал, а также проработать не охваченные ранее вопросы. Информация по разделам преподносится наглядно и понятно, а также сопровождается примерами. Вместе с теорией приводятся разные типы экзаменационных заданий с подробными решениями. Так ни одна важная мысль не ускользнёт от вас во время занятий с учебником! Присоединяйся к числу счастливчиков, с лёгкостью преодолевших экзамен благодаря «Умскул»!
Электронная книга Аудиокнига ОГЭ. Информатика
Эксклюзивный справочник от издательства «Эксмо» и топовой онлайн-школы «Умскул», выпустившей за 9 лет более 600 000 учеников, поможет каждому прийти к заветным баллам на ОГЭ 2026 по информатике. В книжке только самая актуальная и нужная для экзамена теория, а также разбор разных типов экзаменационных заданий! Эта книга разложит по полочкам все темы по предмету за 5, 6, 7, 8, 9 классы: вы сможете запросто повторить уже изученный материал, а также проработать не охваченные ранее вопросы. Информация по разделам преподносится наглядно и понятно, а также сопровождается примерами. Вместе с теорией приводятся разные типы экзаменационных заданий с подробными решениями. Так ни одна важная мысль не ускользнёт от вас во время занятий с учебником! Присоединяйся к числу счастливчиков, с лёгкостью преодолевших экзамен благодаря «Умскул»!
Электронная книга Аудиокнига ОГЭ. Физика
Эксклюзивный справочник от издательства «Эксмо» и топовой онлайн-школы «Умскул», выпустившей за 9 лет более 600 000 учеников, поможет каждому прийти к заветным баллам на ОГЭ 2026 по физике. В книжке только самая актуальная и нужная для экзамена теория, а также разбор разных типов экзаменационных заданий! Эта книга разложит по полочкам все темы по предмету за 7, 8, 9 классы: вы сможете запросто повторить уже изученный материал, а также проработать не охваченные ранее вопросы. Информация по разделам преподносится наглядно и понятно, а также сопровождается примерами. Вместе с теорией приводятся разные типы экзаменационных заданий с подробными решениями. Так ни одна важная мысль не ускользнёт от вас во время занятий с учебником! Присоединяйся к числу счастливчиков, с лёгкостью преодолевших экзамен благодаря «Умскул»!
Электронная книга Аудиокнига ОГЭ-2026. Русский язык. Сочинение-рассуждение и изложение
Не всем школьникам удается грамотно, логично формулировать и аргументированно доказывать свои мысли. Книга поможет подготовиться к самой важной и сложной части ОГЭ — написанию сочинения-рассуждения. С помощью предложенной автором методики пошаговой подготовки к сочинению учащиеся узнают: как начать сочинение, как связать вступление с основной частью, как подобрать аргументы, как сделать вывод. Издание поможет учащимся 9-х классов шаг за шагом готовиться к изложению и сочинению-рассуждению на ОГЭ по русскому языку. В пособии приводятся ценные методические рекомендации по написанию изложения, пошаговые инструкции по написанию сочинения-рассуждения на лингвистическую и морально-нравственную темы, а также примерные модели сочинений и различные тренировочные упражнения. Кроме того, даны типовые тренировочные варианты с ответами. Книга окажет помощь учащимся при подготовке к экзамену, а также может быть использована учителями при организации учебного процесса.
Электронная книга Аудиокнига ОГЭ-2026. Математика. Сборник заданий: 750 заданий с ответами
Пособие предназначено для подготовки учащихся 9-х классов к ОГЭ по математике. В сборник включено более 750 заданий разных типов, сгруппированных по темам, справочный теоретический материал, ответы ко всем заданиям, подробные решения задач. Представлены все учебные темы, знание которых проверяется экзаменом. Издание окажет помощь учителям при организации тематических проверок для текущего закрепления материала, а также при подготовке учащихся к ОГЭ. Авторы пособия — В.В. Кочагин, кандидат педагогических наук, учитель математики, Почётный работник общего образования Российской Федерации, и М.Н. Кочагина, кандидат педагогических наук, доцент Департамента математики и физики ИЦО ГАОУ ВО МГПУ. Материалы пособия будут способствовать формированию у учащихся стойких навыков выполнения заданий разных типов и уровней сложности по всем темам, проверяемым на экзамене.
Рейтинги














